The price of $EVER is calculated using a bonding curve model inspired by constant product mechanisms, augmented by a daily minimum growth assurance.
Variable Definitions:
• X: USDC quantity in the virtual reserve pool. Initial value: 10,000 USDC. Increases with reserve buys.
• Y: $EVER tokens in reserves. Initial/max supply: 100,000,000. Decreases on reserve buys.
• K: Constant product (K = X * Y), updated after reserve transactions.
• SC: Circulating supply of $EVER, starting at 0 and increasing with buys.
• P(Y): Current price in USDC.
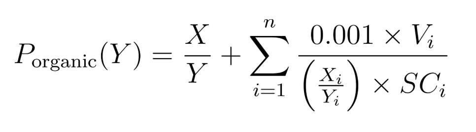
Organic Price Calculation:
The base price is calculated using the following formula:

Where:
- The first term **(X / Y)** provides a baseline that rises as reserves diminish
- The summation adds permanent bonuses from queue-based buys
- Each historical queue buy i contributes a bonus scaled by volume and normalized by price and circulating supply
Daily Minimum Boost:
To guarantee at least 0.02% growth per 24-hour period, the system applies a daily boost if organic growth falls below this threshold:

This boost is temporary and non-compounding, resetting each day.